Tutorial: Programming in Python and Sage#

Author: Florent Hivert <florent.hivert@univ-rouen.fr>, Franco Saliola <saliola@gmail.com>, et al.

This tutorial is an introduction to basic programming in Python and Sage, for readers with elementary notions of programming but not familiar with the Python language. It is far from exhaustive. For a more complete tutorial, have a look at the Python Tutorial. Also Python’s documentation and in particular the standard library can be useful.

A more advanced tutorial presents the notions of objects and classes in Python.

Here are further resources to learn Python:

Data structures#

In Python, typing is dynamic; there is no such thing as declaring variables. The function type() returns the type of an object obj. To convert an object to a type typ just write typ(obj) as in int("123"). The command isinstance(ex, typ) returns whether the expression ex is of type typ. Specifically, any value is an instance of a class and there is no difference between classes and types.

The symbol = denotes the affectation to a variable; it should not be confused with == which denotes mathematical equality. Inequality is !=.

The standard types are bool, int, list, tuple, set, dict, str.

  • The type bool (booleans) has two values: True and False. The boolean operators are denoted by their names or, and, not.

  • The Python type int is used to represent integers of limited size. To handle arbitrary large integers with exact arithmetic, Sage uses its own type named Integer.

  • A list is a data structure which groups values. It is constructed using brackets as in [1, 3, 4]. The range() function creates integer lists. One can also create lists using list comprehension:

    [ <expr> for <name> in <iterable> (if <condition>) ]
    

    For example:

    sage: [ i^2 for i in range(10) if i % 2 == 0 ]
    [0, 4, 16, 36, 64]
    
    [ i^2 for i in range(10) if i % 2 == 0 ]
    >>> from sage.all import *
    >>> [ i**Integer(2) for i in range(Integer(10)) if i % Integer(2) == Integer(0) ]
    [0, 4, 16, 36, 64]
    
  • A tuple is very similar to a list; it is constructed using parentheses. The empty tuple is obtained by () or by the constructor tuple. If there is only one element, one has to write (a,). A tuple is immutable (one cannot change it) but it is hashable (see below). One can also create tuples using comprehensions:

    sage: tuple(i^2 for i in range(10) if i % 2 == 0)
    (0, 4, 16, 36, 64)
    
    tuple(i^2 for i in range(10) if i % 2 == 0)
    >>> from sage.all import *
    >>> tuple(i**Integer(2) for i in range(Integer(10)) if i % Integer(2) == Integer(0))
    (0, 4, 16, 36, 64)
    
  • A set is a data structure which contains values without multiplicities or order. One creates it from a list (or any iterable) with the constructor set. The elements of a set must be hashable:

    sage: set([2,2,1,4,5])
    {1, 2, 4, 5}
    
    sage: set([ [1], [2] ])
    Traceback (most recent call last):
    ...
    TypeError: unhashable type: 'list'
    
    set([2,2,1,4,5])
    set([ [1], [2] ])
    >>> from sage.all import *
    >>> set([Integer(2),Integer(2),Integer(1),Integer(4),Integer(5)])
    {1, 2, 4, 5}
    
    >>> set([ [Integer(1)], [Integer(2)] ])
    Traceback (most recent call last):
    ...
    TypeError: unhashable type: 'list'
    
  • A dictionary is an association table, which associates values to keys. Keys must be hashable. One creates dictionaries using the constructor dict, or using the syntax:

    {key1 : value1, key2 : value2 ...}
    

    For example:

    sage: age = {'toto' : 8, 'mom' : 27}; age
    {'mom': 27, 'toto': 8}
    
    age = {'toto' : 8, 'mom' : 27}; age
    >>> from sage.all import *
    >>> age = {'toto' : Integer(8), 'mom' : Integer(27)}; age
    {'mom': 27, 'toto': 8}
    
  • Quotes (simple ' ' or double " ") enclose character strings. One can concatenate them using +.

  • For lists, tuples, strings, and dictionaries, the indexing operator is written l[i]. For lists, tuples, and strings one can also uses slices as l[:], l[:b], l[a:], or l[a:b]. Negative indices start from the end.

  • The len() function returns the number of elements of a list, a tuple, a set, a string, or a dictionary. One writes x in C to tests whether x is in C.

  • Finally there is a special value called None to denote the absence of a value.

Control structures#

In Python, there is no keyword for the beginning and the end of an instructions block. Blocks are delimited solely by means of indentation. Most of the time a new block is introduced by :. Python has the following control structures:

  • Conditional instruction:

    if <condition>:
        <instruction sequence>
    [elif <condition>:
        <instruction sequence>]*
    [else:
        <instruction sequence>]
    
  • Inside expression exclusively, one can write:

    <value> if <condition> else <value>
    
  • Iterative instructions:

    for <name> in <iterable>:
        <instruction sequence>
    [else:
        <instruction sequence>]
    
    while <condition>:
        <instruction sequence>
    [else:
        <instruction sequence>]
    

    The else block is executed at the end of the loop if the loop is ended normally, that is neither by a break nor an exception.

  • In a loop, continue jumps to the next iteration.

  • An iterable is an object which can be iterated through. Iterable types include lists, tuples, dictionaries, and strings.

  • An error (also called exception) is raised by:

    raise <ErrorType>[("error message")]
    

    Usual errors include ValueError and TypeError.

Functions#

Note

Python functions vs. mathematical functions

In what follows, we deal with functions is the sense of programming languages. Mathematical functions, as manipulated in calculus, are handled by Sage in a different way. In particular it doesn’t make sense to do mathematical manipulation such as additions or derivations on Python functions.

One defines a function using the keyword def as:

def <name>(<argument list>):
     <instruction sequence>

The result of the function is given by the instruction return. Very short functions can be created anonymously using lambda (remark that there is no instruction return here):

lambda <arguments>: <expression>

Note

Functional programming

Functions are objects as any other objects. One can assign them to variables or return them. For details, see the tutorial on Functional Programming for Mathematicians.

Exercises#

Lists#

Creating Lists I: [Square brackets]#

Example:

sage: L = [3, Permutation([5,1,4,2,3]), 17, 17, 3, 51]
sage: L
[3, [5, 1, 4, 2, 3], 17, 17, 3, 51]
L = [3, Permutation([5,1,4,2,3]), 17, 17, 3, 51]
L
>>> from sage.all import *
>>> L = [Integer(3), Permutation([Integer(5),Integer(1),Integer(4),Integer(2),Integer(3)]), Integer(17), Integer(17), Integer(3), Integer(51)]
>>> L
[3, [5, 1, 4, 2, 3], 17, 17, 3, 51]

Exercise: Create the list [63, 12, -10, "a", 12], assign it to the variable L, and print the list.

sage: # edit here
# edit here
>>> from sage.all import *
>>> # edit here

Exercise: Create the empty list (you will often need to do this).

sage: # edit here
# edit here
>>> from sage.all import *
>>> # edit here

Creating Lists II: range#

The range() function provides an easy way to construct a list of integers. Here is the documentation of the range() function:

range([start,] stop[, step]) -> list of integers

Return a list containing an arithmetic progression of integers.
range(i, j) returns [i, i+1, i+2, ..., j-1]; start (!) defaults to 0.
When step is given, it specifies the increment (or decrement). For
example, range(4) returns [0, 1, 2, 3].  The end point is omitted!
These are exactly the valid indices for a list of 4 elements.

Exercise: Use range() to construct the list \([1,2,\ldots,50]\).

sage: # edit here
# edit here
>>> from sage.all import *
>>> # edit here

Exercise: Use range() to construct the list of even numbers between 1 and 100 (including 100).

sage: # edit here
# edit here
>>> from sage.all import *
>>> # edit here

Exercise: The step argument for the range() command can be negative. Use range to construct the list \([10, 7, 4, 1, -2]\).

sage: # edit here
# edit here
>>> from sage.all import *
>>> # edit here

See also

  • xrange(): returns an iterator rather than building a list, (only for Python2, replaced by range in Python 3).

  • srange(): like range but with Sage integers; see below.

  • xsrange(): like xrange but with Sage integers.

Creating Lists III: list comprehensions#

List comprehensions provide a concise way to create lists from other lists (or other data types).

Example We already know how to create the list \([1, 2, \dots, 16]\):

sage: list(range(1,17))
[1, 2, 3, 4, 5, 6, 7, 8, 9, 10, 11, 12, 13, 14, 15, 16]
list(range(1,17))
>>> from sage.all import *
>>> list(range(Integer(1),Integer(17)))
[1, 2, 3, 4, 5, 6, 7, 8, 9, 10, 11, 12, 13, 14, 15, 16]

Using a list comprehension, we can now create the list \([1^2, 2^2, 3^2, \dots, 16^2]\) as follows:

sage: [i^2 for i in range(1,17)]
[1, 4, 9, 16, 25, 36, 49, 64, 81, 100, 121, 144, 169, 196, 225, 256]
[i^2 for i in range(1,17)]
>>> from sage.all import *
>>> [i**Integer(2) for i in range(Integer(1),Integer(17))]
[1, 4, 9, 16, 25, 36, 49, 64, 81, 100, 121, 144, 169, 196, 225, 256]
sage: sum([i^2 for i in range(1,17)])
1496
sum([i^2 for i in range(1,17)])
>>> from sage.all import *
>>> sum([i**Integer(2) for i in range(Integer(1),Integer(17))])
1496

Exercise: [Project Euler, Problem 6]

The sum of the squares of the first ten natural numbers is

\[(1^2 + 2^2 + ... + 10^2) = 385\]

The square of the sum of the first ten natural numbers is

\[(1 + 2 + ... + 10)^2 = 55^2 = 3025\]

Hence the difference between the sum of the squares of the first ten natural numbers and the square of the sum is

\[3025 - 385 = 2640\]

Find the difference between the sum of the squares of the first one hundred natural numbers and the square of the sum.

sage: # edit here
# edit here
>>> from sage.all import *
>>> # edit here
sage: # edit here
# edit here
>>> from sage.all import *
>>> # edit here
sage: # edit here
# edit here
>>> from sage.all import *
>>> # edit here
Filtering lists with a list comprehension#

A list can be filtered using a list comprehension.

Example: To create a list of the squares of the prime numbers between 1 and 100, we use a list comprehension as follows.

sage: [p^2 for p in [1,2,..,100] if is_prime(p)]
[4, 9, 25, 49, 121, 169, 289, 361, 529, 841, 961, 1369, 1681, 1849, 2209, 2809, 3481, 3721, 4489, 5041, 5329, 6241, 6889, 7921, 9409]
[p^2 for p in [1,2,..,100] if is_prime(p)]
>>> from sage.all import *
>>> [p**Integer(2) for p in (ellipsis_range(Integer(1),Integer(2),Ellipsis,Integer(100))) if is_prime(p)]
[4, 9, 25, 49, 121, 169, 289, 361, 529, 841, 961, 1369, 1681, 1849, 2209, 2809, 3481, 3721, 4489, 5041, 5329, 6241, 6889, 7921, 9409]

Exercise: Use a list comprehension to list all the natural numbers below 20 that are multiples of 3 or 5. Hint:

  • To get the remainder of 7 divided by 3 use 7%3.

  • To test for equality use two equal signs (==); for example, 3 == 7.

sage: # edit here
# edit here
>>> from sage.all import *
>>> # edit here

Project Euler, Problem 1: Find the sum of all the multiples of 3 or 5 below 1000.

sage: # edit here
# edit here
>>> from sage.all import *
>>> # edit here
Nested list comprehensions#

List comprehensions can be nested!

Examples:

sage: [(x,y) for x in range(5) for y in range(3)]
[(0, 0), (0, 1), (0, 2), (1, 0), (1, 1), (1, 2), (2, 0), (2, 1), (2, 2), (3, 0), (3, 1), (3, 2), (4, 0), (4, 1), (4, 2)]
[(x,y) for x in range(5) for y in range(3)]
>>> from sage.all import *
>>> [(x,y) for x in range(Integer(5)) for y in range(Integer(3))]
[(0, 0), (0, 1), (0, 2), (1, 0), (1, 1), (1, 2), (2, 0), (2, 1), (2, 2), (3, 0), (3, 1), (3, 2), (4, 0), (4, 1), (4, 2)]
sage: [[i^j for j in range(1,4)] for i in range(6)]
[[0, 0, 0], [1, 1, 1], [2, 4, 8], [3, 9, 27], [4, 16, 64], [5, 25, 125]]
[[i^j for j in range(1,4)] for i in range(6)]
>>> from sage.all import *
>>> [[i**j for j in range(Integer(1),Integer(4))] for i in range(Integer(6))]
[[0, 0, 0], [1, 1, 1], [2, 4, 8], [3, 9, 27], [4, 16, 64], [5, 25, 125]]
sage: matrix([[i^j for j in range(1,4)] for i in range(6)])
[  0   0   0]
[  1   1   1]
[  2   4   8]
[  3   9  27]
[  4  16  64]
[  5  25 125]
matrix([[i^j for j in range(1,4)] for i in range(6)])
>>> from sage.all import *
>>> matrix([[i**j for j in range(Integer(1),Integer(4))] for i in range(Integer(6))])
[  0   0   0]
[  1   1   1]
[  2   4   8]
[  3   9  27]
[  4  16  64]
[  5  25 125]

Exercise:

  1. A Pythagorean triple is a triple \((x,y,z)\) of positive integers satisfying \(x^2+y^2=z^2\). The Pythagorean triples whose components are at most \(10\) are:

    \[[(3, 4, 5), (4, 3, 5), (6, 8, 10), (8, 6, 10)]\,.\]

    Using a filtered list comprehension, construct the list of Pythagorean triples whose components are at most \(50\):

    sage: # edit here
    
    # edit here
    >>> from sage.all import *
    >>> # edit here
    
    sage: # edit here
    
    # edit here
    >>> from sage.all import *
    >>> # edit here
    
  2. Project Euler, Problem 9: There exists exactly one Pythagorean triple for which \(a + b + c = 1000\). Find the product \(abc\):

    sage: # edit here
    
    # edit here
    >>> from sage.all import *
    >>> # edit here
    

Accessing individual elements of lists#

To access an element of the list L, use the syntax L[i], where \(i\) is the index of the item.

Exercise:

  1. Construct the list L = [1,2,3,4,3,5,6]. What is L[3]?

    sage: # edit here
    
    # edit here
    >>> from sage.all import *
    >>> # edit here
    
  2. What is L[1]?

    sage: # edit here
    
    # edit here
    >>> from sage.all import *
    >>> # edit here
    
  3. What is the index of the first element of L?

    sage: # edit here
    
    # edit here
    >>> from sage.all import *
    >>> # edit here
    
  4. What is L[-1]? What is L[-2]?

    sage: # edit here
    
    # edit here
    >>> from sage.all import *
    >>> # edit here
    
  5. What is L.index(2)? What is L.index(3)?

    sage: # edit here
    
    # edit here
    >>> from sage.all import *
    >>> # edit here
    

Modifying lists: changing an element in a list#

To change the item in position i of a list L:

sage: L = ["a", 4, 1, 8]
sage: L
['a', 4, 1, 8]
L = ["a", 4, 1, 8]
L
>>> from sage.all import *
>>> L = ["a", Integer(4), Integer(1), Integer(8)]
>>> L
['a', 4, 1, 8]
sage: L[2] = 0
sage: L
['a', 4, 0, 8]
L[2] = 0
L
>>> from sage.all import *
>>> L[Integer(2)] = Integer(0)
>>> L
['a', 4, 0, 8]

Modifying lists: append and extend#

To append an object to a list:

sage: L = ["a", 4, 1, 8]
sage: L
['a', 4, 1, 8]
L = ["a", 4, 1, 8]
L
>>> from sage.all import *
>>> L = ["a", Integer(4), Integer(1), Integer(8)]
>>> L
['a', 4, 1, 8]
sage: L.append(17)
sage: L
['a', 4, 1, 8, 17]
L.append(17)
L
>>> from sage.all import *
>>> L.append(Integer(17))
>>> L
['a', 4, 1, 8, 17]

To extend a list by another list:

sage: L1 = [1,2,3]
sage: L2 = [7,8,9,0]
sage: L1
[1, 2, 3]
sage: L2
[7, 8, 9, 0]
L1 = [1,2,3]
L2 = [7,8,9,0]
L1
L2
>>> from sage.all import *
>>> L1 = [Integer(1),Integer(2),Integer(3)]
>>> L2 = [Integer(7),Integer(8),Integer(9),Integer(0)]
>>> L1
[1, 2, 3]
>>> L2
[7, 8, 9, 0]
sage: L1.extend(L2)
sage: L1
[1, 2, 3, 7, 8, 9, 0]
L1.extend(L2)
L1
>>> from sage.all import *
>>> L1.extend(L2)
>>> L1
[1, 2, 3, 7, 8, 9, 0]

Modifying lists: reverse, sort, …#

sage: L = [4,2,5,1,3]
sage: L
[4, 2, 5, 1, 3]
L = [4,2,5,1,3]
L
>>> from sage.all import *
>>> L = [Integer(4),Integer(2),Integer(5),Integer(1),Integer(3)]
>>> L
[4, 2, 5, 1, 3]
sage: L.reverse()
sage: L
[3, 1, 5, 2, 4]
L.reverse()
L
>>> from sage.all import *
>>> L.reverse()
>>> L
[3, 1, 5, 2, 4]
sage: L.sort()
sage: L
[1, 2, 3, 4, 5]
L.sort()
L
>>> from sage.all import *
>>> L.sort()
>>> L
[1, 2, 3, 4, 5]
sage: L = [3,1,6,4]
sage: sorted(L)
[1, 3, 4, 6]
L = [3,1,6,4]
sorted(L)
>>> from sage.all import *
>>> L = [Integer(3),Integer(1),Integer(6),Integer(4)]
>>> sorted(L)
[1, 3, 4, 6]
sage: L
[3, 1, 6, 4]
L
>>> from sage.all import *
>>> L
[3, 1, 6, 4]

Concatenating Lists#

To concatenate two lists, add them with the operator +. This is not a commutative operation!

sage: L1 = [1,2,3]
sage: L2 = [7,8,9,0]
sage: L1 + L2
[1, 2, 3, 7, 8, 9, 0]
L1 = [1,2,3]
L2 = [7,8,9,0]
L1 + L2
>>> from sage.all import *
>>> L1 = [Integer(1),Integer(2),Integer(3)]
>>> L2 = [Integer(7),Integer(8),Integer(9),Integer(0)]
>>> L1 + L2
[1, 2, 3, 7, 8, 9, 0]

Slicing Lists#

You can slice a list using the syntax L[start : stop : step]. This will return a sublist of L.

Exercise: Below are some examples of slicing lists. Try to guess what the output will be before evaluating the cell:

sage: L = list(range(20))
sage: L
[0, 1, 2, 3, 4, 5, 6, 7, 8, 9, 10, 11, 12, 13, 14, 15, 16, 17, 18, 19]
L = list(range(20))
L
>>> from sage.all import *
>>> L = list(range(Integer(20)))
>>> L
[0, 1, 2, 3, 4, 5, 6, 7, 8, 9, 10, 11, 12, 13, 14, 15, 16, 17, 18, 19]
sage: L[3:15]
[3, 4, 5, 6, 7, 8, 9, 10, 11, 12, 13, 14]
L[3:15]
>>> from sage.all import *
>>> L[Integer(3):Integer(15)]
[3, 4, 5, 6, 7, 8, 9, 10, 11, 12, 13, 14]
sage: L[3:15:2]
[3, 5, 7, 9, 11, 13]
L[3:15:2]
>>> from sage.all import *
>>> L[Integer(3):Integer(15):Integer(2)]
[3, 5, 7, 9, 11, 13]
sage: L[15:3:-1]
[15, 14, 13, 12, 11, 10, 9, 8, 7, 6, 5, 4]
L[15:3:-1]
>>> from sage.all import *
>>> L[Integer(15):Integer(3):-Integer(1)]
[15, 14, 13, 12, 11, 10, 9, 8, 7, 6, 5, 4]
sage: L[:4]
[0, 1, 2, 3]
L[:4]
>>> from sage.all import *
>>> L[:Integer(4)]
[0, 1, 2, 3]
sage: L[:]
[0, 1, 2, 3, 4, 5, 6, 7, 8, 9, 10, 11, 12, 13, 14, 15, 16, 17, 18, 19]
L[:]
>>> from sage.all import *
>>> L[:]
[0, 1, 2, 3, 4, 5, 6, 7, 8, 9, 10, 11, 12, 13, 14, 15, 16, 17, 18, 19]
sage: L[::-1]
[19, 18, 17, 16, 15, 14, 13, 12, 11, 10, 9, 8, 7, 6, 5, 4, 3, 2, 1, 0]
L[::-1]
>>> from sage.all import *
>>> L[::-Integer(1)]
[19, 18, 17, 16, 15, 14, 13, 12, 11, 10, 9, 8, 7, 6, 5, 4, 3, 2, 1, 0]

Exercise (Advanced): The following function combines a loop with some of the list operations above. What does the function do?

sage: def f(number_of_iterations):
....:     L = [1]
....:     for n in range(2, number_of_iterations):
....:         L = [sum(L[:i]) for i in range(n-1, -1, -1)]
....:     return numerical_approx(2*L[0]*len(L)/sum(L), digits=50)
def f(number_of_iterations):
    L = [1]
    for n in range(2, number_of_iterations):
        L = [sum(L[:i]) for i in range(n-1, -1, -1)]
    return numerical_approx(2*L[0]*len(L)/sum(L), digits=50)
>>> from sage.all import *
>>> def f(number_of_iterations):
...     L = [Integer(1)]
...     for n in range(Integer(2), number_of_iterations):
...         L = [sum(L[:i]) for i in range(n-Integer(1), -Integer(1), -Integer(1))]
...     return numerical_approx(Integer(2)*L[Integer(0)]*len(L)/sum(L), digits=Integer(50))
sage: # edit here
# edit here
>>> from sage.all import *
>>> # edit here

Tuples#

A tuple is an immutable list. That is, it cannot be changed once it is created. This can be useful for code safety and foremost because it makes tuple hashable. To create a tuple, use parentheses instead of brackets:

sage: t = (3, 5, [3,1], (17,[2,3],17), 4)
sage: t
(3, 5, [3, 1], (17, [2, 3], 17), 4)
t = (3, 5, [3,1], (17,[2,3],17), 4)
t
>>> from sage.all import *
>>> t = (Integer(3), Integer(5), [Integer(3),Integer(1)], (Integer(17),[Integer(2),Integer(3)],Integer(17)), Integer(4))
>>> t
(3, 5, [3, 1], (17, [2, 3], 17), 4)

To create a singleton tuple, a comma is required to resolve the ambiguity:

sage: (1)
1
sage: (1,)
(1,)
(1)
(1,)
>>> from sage.all import *
>>> (Integer(1))
1
>>> (Integer(1),)
(1,)

We can create a tuple from a list, and vice-versa.

sage: tuple(range(5))
(0, 1, 2, 3, 4)
tuple(range(5))
>>> from sage.all import *
>>> tuple(range(Integer(5)))
(0, 1, 2, 3, 4)
sage: list(t)
[3, 5, [3, 1], (17, [2, 3], 17), 4]
list(t)
>>> from sage.all import *
>>> list(t)
[3, 5, [3, 1], (17, [2, 3], 17), 4]

Tuples behave like lists in many respects:

Operation

Syntax for lists

Syntax for tuples

Accessing a letter

list[3]

tuple[3]

Concatenation

list1 + list2

tuple1 + tuple2

Slicing

list[3:17:2]

tuple[3:17:2]

A reversed copy

list[::-1]

tuple[::-1]

Length

len(list)

len(tuple)

Trying to modify a tuple will fail:

sage: t = (5, 'a', 6/5)
sage: t
(5, 'a', 6/5)
t = (5, 'a', 6/5)
t
>>> from sage.all import *
>>> t = (Integer(5), 'a', Integer(6)/Integer(5))
>>> t
(5, 'a', 6/5)
sage: t[1] = 'b'
Traceback (most recent call last):
...
TypeError: 'tuple' object does not support item assignment
t[1] = 'b'
>>> from sage.all import *
>>> t[Integer(1)] = 'b'
Traceback (most recent call last):
...
TypeError: 'tuple' object does not support item assignment

Generators#

“Tuple-comprehensions” do not exist. Instead, the syntax produces something called a generator. A generator allows you to process a sequence of items one at a time. Each item is created when it is needed, and then forgotten. This can be very efficient if we only need to use each item once.

sage: (i^2 for i in range(5))
<generator object <genexpr> at 0x...>
(i^2 for i in range(5))
>>> from sage.all import *
>>> (i**Integer(2) for i in range(Integer(5)))
<generator object <genexpr> at 0x...>
sage: g = (i^2 for i in range(5))
sage: g[0]
Traceback (most recent call last):
...
TypeError: 'generator' object ...
g = (i^2 for i in range(5))
g[0]
>>> from sage.all import *
>>> g = (i**Integer(2) for i in range(Integer(5)))
>>> g[Integer(0)]
Traceback (most recent call last):
...
TypeError: 'generator' object ...
sage: [x for x in g]
[0, 1, 4, 9, 16]
[x for x in g]
>>> from sage.all import *
>>> [x for x in g]
[0, 1, 4, 9, 16]

g is now empty.

sage: [x for x in g]
[]
[x for x in g]
>>> from sage.all import *
>>> [x for x in g]
[]

A nice ‘pythonic’ trick is to use generators as argument of functions. We do not need double parentheses for this:

sage: sum( i^2 for i in srange(100001) )
333338333350000
sum( i^2 for i in srange(100001) )
>>> from sage.all import *
>>> sum( i**Integer(2) for i in srange(Integer(100001)) )
333338333350000

Dictionaries#

A dictionary is another built-in data type. Unlike lists, which are indexed by a range of numbers starting at 0, dictionaries are indexed by keys, which can be any immutable objects. Strings and numbers can always be keys (because they are immutable). Dictionaries are sometimes called “associative arrays” in other programming languages.

There are several ways to define dictionaries. One method is to use braces, {}, with comma-separated entries given in the form key:value:

sage: d = {3:17, 0.5:[4,1,5,2,3], 0:"goo", 3/2 : 17}
sage: d
{0: 'goo', 0.500000000000000: [4, 1, 5, 2, 3], 3/2: 17, 3: 17}
d = {3:17, 0.5:[4,1,5,2,3], 0:"goo", 3/2 : 17}
d
>>> from sage.all import *
>>> d = {Integer(3):Integer(17), RealNumber('0.5'):[Integer(4),Integer(1),Integer(5),Integer(2),Integer(3)], Integer(0):"goo", Integer(3)/Integer(2) : Integer(17)}
>>> d
{0: 'goo', 0.500000000000000: [4, 1, 5, 2, 3], 3/2: 17, 3: 17}

A second method is to use the constructor dict which admits a list (or actually any iterable) of 2-tuples (key, value):

sage: dd = dict((i,i^2) for i in range(10))
sage: dd
{0: 0, 1: 1, 2: 4, 3: 9, 4: 16, 5: 25, 6: 36, 7: 49, 8: 64, 9: 81}
dd = dict((i,i^2) for i in range(10))
dd
>>> from sage.all import *
>>> dd = dict((i,i**Integer(2)) for i in range(Integer(10)))
>>> dd
{0: 0, 1: 1, 2: 4, 3: 9, 4: 16, 5: 25, 6: 36, 7: 49, 8: 64, 9: 81}

Dictionaries behave as lists and tuples for several important operations.

Operation

Syntax for lists

Syntax for dictionaries

Accessing elements

list[3]

D["key"]

Length

len(list)

len(D)

Modifying

L[3] = 17

D["key"] = 17

Deleting items

del L[3]

del D["key"]

sage: d[10]='a'
sage: d
{0: 'goo', 0.500000000000000: [4, 1, 5, 2, 3], 3/2: 17, 3: 17, 10: 'a'}
d[10]='a'
d
>>> from sage.all import *
>>> d[Integer(10)]='a'
>>> d
{0: 'goo', 0.500000000000000: [4, 1, 5, 2, 3], 3/2: 17, 3: 17, 10: 'a'}

A dictionary can have the same value multiple times, but each key must only appear once and must be immutable:

sage: d = {3: 14, 4: 14}
sage: d
{3: 14, 4: 14}
d = {3: 14, 4: 14}
d
>>> from sage.all import *
>>> d = {Integer(3): Integer(14), Integer(4): Integer(14)}
>>> d
{3: 14, 4: 14}
sage: d = {3: 13, 3: 14}
sage: d
{3: 14}
d = {3: 13, 3: 14}
d
>>> from sage.all import *
>>> d = {Integer(3): Integer(13), Integer(3): Integer(14)}
>>> d
{3: 14}
sage: d = {[1,2,3] : 12}
Traceback (most recent call last):
...
TypeError: unhashable type: 'list'
d = {[1,2,3] : 12}
>>> from sage.all import *
>>> d = {[Integer(1),Integer(2),Integer(3)] : Integer(12)}
Traceback (most recent call last):
...
TypeError: unhashable type: 'list'

Another way to add items to a dictionary is with the update() method which updates the dictionary from another dictionary:

sage: d = {}
sage: d
{}
d = {}
d
>>> from sage.all import *
>>> d = {}
>>> d
{}
sage: d.update({10 : 'newvalue', 20: 'newervalue', 3: 14, 0.5:[1,2,3]})
sage: d
{0.500000000000000: [1, 2, 3], 3: 14, 10: 'newvalue', 20: 'newervalue'}
d.update({10 : 'newvalue', 20: 'newervalue', 3: 14, 0.5:[1,2,3]})
d
>>> from sage.all import *
>>> d.update({Integer(10) : 'newvalue', Integer(20): 'newervalue', Integer(3): Integer(14), RealNumber('0.5'):[Integer(1),Integer(2),Integer(3)]})
>>> d
{0.500000000000000: [1, 2, 3], 3: 14, 10: 'newvalue', 20: 'newervalue'}

We can iterate through the keys, or values, or both, of a dictionary. Note that, internally, there is no sorting of keys done. In general, the order of keys/values will depend on memory locations can and will differ between different computers and / or repeated runs on the same computer. However, Sage sort the dictionary entries by key when printing the dictionary specifically to make the docstrings more reproducible. However, the Python methods keys() and values() do not sort for you. If you want your output to be reproducible, then you have to sort it first just like in the examples below:

sage: d = {10 : 'newvalue', 20: 'newervalue', 3: 14, 0.5:(1,2,3)}
d = {10 : 'newvalue', 20: 'newervalue', 3: 14, 0.5:(1,2,3)}
>>> from sage.all import *
>>> d = {Integer(10) : 'newvalue', Integer(20): 'newervalue', Integer(3): Integer(14), RealNumber('0.5'):(Integer(1),Integer(2),Integer(3))}
sage: sorted([key for key in d])
[0.500000000000000, 3, 10, 20]
sorted([key for key in d])
>>> from sage.all import *
>>> sorted([key for key in d])
[0.500000000000000, 3, 10, 20]
sage: d.keys()   # random order
[0.500000000000000, 10, 3, 20]
sage: sorted(d.keys())
[0.500000000000000, 3, 10, 20]
d.keys()   # random order
sorted(d.keys())
>>> from sage.all import *
>>> d.keys()   # random order
[0.500000000000000, 10, 3, 20]
>>> sorted(d.keys())
[0.500000000000000, 3, 10, 20]
sage: d.values()   # random order
[(1, 2, 3), 'newvalue', 14, 'newervalue']
sage: set(d.values()) == set([14, (1, 2, 3), 'newvalue', 'newervalue'])
True
d.values()   # random order
set(d.values()) == set([14, (1, 2, 3), 'newvalue', 'newervalue'])
>>> from sage.all import *
>>> d.values()   # random order
[(1, 2, 3), 'newvalue', 14, 'newervalue']
>>> set(d.values()) == set([Integer(14), (Integer(1), Integer(2), Integer(3)), 'newvalue', 'newervalue'])
True
sage: d.items()    # random order
[(0.500000000000000, (1, 2, 3)), (10, 'newvalue'), (3, 14), (20, 'newervalue')]
sage: sorted([(key, value) for key, value in d.items()])
[(0.500000000000000, (1, 2, 3)), (3, 14), (10, 'newvalue'), (20, 'newervalue')]
d.items()    # random order
sorted([(key, value) for key, value in d.items()])
>>> from sage.all import *
>>> d.items()    # random order
[(0.500000000000000, (1, 2, 3)), (10, 'newvalue'), (3, 14), (20, 'newervalue')]
>>> sorted([(key, value) for key, value in d.items()])
[(0.500000000000000, (1, 2, 3)), (3, 14), (10, 'newvalue'), (20, 'newervalue')]

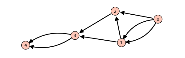
Exercise: Consider the following directed graph.

_images/graph0.png

Create a dictionary whose keys are the vertices of the above directed graph, and whose values are the lists of the vertices that it points to. For instance, the vertex 1 points to the vertices 2 and 3, so the dictionary will look like:

d = { ..., 1:[2,3], ... }
sage: # edit here
# edit here
>>> from sage.all import *
>>> # edit here

Then try:

sage: g = DiGraph(d)
sage: g.plot()
g = DiGraph(d)
g.plot()
>>> from sage.all import *
>>> g = DiGraph(d)
>>> g.plot()

Using Sage types: The srange command#

Example: Construct a \(3 \times 3\) matrix whose \((i,j)\) entry is the rational number \(\frac{i}{j}\). The integers generated by range() are Python int’s. As a consequence, dividing them does euclidean division (in Python2):

sage: matrix([[i/j for j in range(1,4)] for i in range(1,4)]) # not tested
[1 0 0]
[2 1 0]
[3 1 1]
matrix([[i/j for j in range(1,4)] for i in range(1,4)]) # not tested
>>> from sage.all import *
>>> matrix([[i/j for j in range(Integer(1),Integer(4))] for i in range(Integer(1),Integer(4))]) # not tested
[1 0 0]
[2 1 0]
[3 1 1]

In Python3, the division of Python integers returns a float instead.

Whereas dividing a Sage Integer by a Sage Integer produces a rational number:

sage: matrix([[ i/j for j in srange(1,4)] for i in srange(1,4)])
[  1 1/2 1/3]
[  2   1 2/3]
[  3 3/2   1]
matrix([[ i/j for j in srange(1,4)] for i in srange(1,4)])
>>> from sage.all import *
>>> matrix([[ i/j for j in srange(Integer(1),Integer(4))] for i in srange(Integer(1),Integer(4))])
[  1 1/2 1/3]
[  2   1 2/3]
[  3 3/2   1]

Modifying lists has consequences!#

Try to predict the results of the following commands:

sage: a = [1, 2, 3]
sage: L = [a, a, a]
sage: L
[[1, 2, 3], [1, 2, 3], [1, 2, 3]]
a = [1, 2, 3]
L = [a, a, a]
L
>>> from sage.all import *
>>> a = [Integer(1), Integer(2), Integer(3)]
>>> L = [a, a, a]
>>> L
[[1, 2, 3], [1, 2, 3], [1, 2, 3]]
sage: a.append(4)
sage: L
[[1, 2, 3, 4], [1, 2, 3, 4], [1, 2, 3, 4]]
a.append(4)
L
>>> from sage.all import *
>>> a.append(Integer(4))
>>> L
[[1, 2, 3, 4], [1, 2, 3, 4], [1, 2, 3, 4]]

Now try these:

sage: a = [1, 2, 3]
sage: L = [a, a, a]
sage: L
[[1, 2, 3], [1, 2, 3], [1, 2, 3]]
a = [1, 2, 3]
L = [a, a, a]
L
>>> from sage.all import *
>>> a = [Integer(1), Integer(2), Integer(3)]
>>> L = [a, a, a]
>>> L
[[1, 2, 3], [1, 2, 3], [1, 2, 3]]
sage: a = [1, 2, 3, 4]
sage: L
[[1, 2, 3], [1, 2, 3], [1, 2, 3]]
a = [1, 2, 3, 4]
L
>>> from sage.all import *
>>> a = [Integer(1), Integer(2), Integer(3), Integer(4)]
>>> L
[[1, 2, 3], [1, 2, 3], [1, 2, 3]]
sage: L[0].append(4)
sage: L
[[1, 2, 3, 4], [1, 2, 3, 4], [1, 2, 3, 4]]
L[0].append(4)
L
>>> from sage.all import *
>>> L[Integer(0)].append(Integer(4))
>>> L
[[1, 2, 3, 4], [1, 2, 3, 4], [1, 2, 3, 4]]

This is known as the reference effect. You can use the command deepcopy() to avoid this effect:

sage: a = [1,2,3]
sage: L = [deepcopy(a), deepcopy(a)]
sage: L
[[1, 2, 3], [1, 2, 3]]
a = [1,2,3]
L = [deepcopy(a), deepcopy(a)]
L
>>> from sage.all import *
>>> a = [Integer(1),Integer(2),Integer(3)]
>>> L = [deepcopy(a), deepcopy(a)]
>>> L
[[1, 2, 3], [1, 2, 3]]
sage: a.append(4)
sage: L
[[1, 2, 3], [1, 2, 3]]
a.append(4)
L
>>> from sage.all import *
>>> a.append(Integer(4))
>>> L
[[1, 2, 3], [1, 2, 3]]

The same effect occurs with dictionaries:

sage: d = {1:'a', 2:'b', 3:'c'}
sage: dd = d
sage: d.update( { 4:'d' } )
sage: dd
{1: 'a', 2: 'b', 3: 'c', 4: 'd'}
d = {1:'a', 2:'b', 3:'c'}
dd = d
d.update( { 4:'d' } )
dd
>>> from sage.all import *
>>> d = {Integer(1):'a', Integer(2):'b', Integer(3):'c'}
>>> dd = d
>>> d.update( { Integer(4):'d' } )
>>> dd
{1: 'a', 2: 'b', 3: 'c', 4: 'd'}

Loops and Functions#

For more verbose explanation of what’s going on here, a good place to look at is the following section of the Python tutorial: http://docs.python.org/tutorial/controlflow.html

While Loops#

While loops tend not to be used nearly as much as for loops in Python code:

sage: i = 0
sage: while i < 10:
....:     print(i)
....:     i += 1
0
1
2
3
4
5
6
7
8
9
i = 0
while i < 10:
    print(i)
    i += 1
>>> from sage.all import *
>>> i = Integer(0)
>>> while i < Integer(10):
...     print(i)
...     i += Integer(1)
0
1
2
3
4
5
6
7
8
9
sage: i = 0
sage: while i < 10:
....:     if i % 2 == 1:
....:         i += 1
....:         continue
....:     print(i)
....:     i += 1
0
2
4
6
8
i = 0
while i < 10:
    if i % 2 == 1:
        i += 1
        continue
    print(i)
    i += 1
>>> from sage.all import *
>>> i = Integer(0)
>>> while i < Integer(10):
...     if i % Integer(2) == Integer(1):
...         i += Integer(1)
...         continue
...     print(i)
...     i += Integer(1)
0
2
4
6
8

Note that the truth value of the clause expression in the while loop is evaluated using bool:

sage: bool(True)
True
bool(True)
>>> from sage.all import *
>>> bool(True)
True
sage: bool('a')
True
bool('a')
>>> from sage.all import *
>>> bool('a')
True
sage: bool(1)
True
bool(1)
>>> from sage.all import *
>>> bool(Integer(1))
True
sage: bool(0)
False
bool(0)
>>> from sage.all import *
>>> bool(Integer(0))
False
sage: i = 4
sage: while i:
....:     print(i)
....:     i -= 1
4
3
2
1
i = 4
while i:
    print(i)
    i -= 1
>>> from sage.all import *
>>> i = Integer(4)
>>> while i:
...     print(i)
...     i -= Integer(1)
4
3
2
1

For Loops#

Here is a basic for loop iterating over all of the elements in the list l:

sage: l = ['a', 'b', 'c']
sage: for letter in l:
....:     print(letter)
a
b
c
l = ['a', 'b', 'c']
for letter in l:
    print(letter)
>>> from sage.all import *
>>> l = ['a', 'b', 'c']
>>> for letter in l:
...     print(letter)
a
b
c

The range() function is very useful when you want to generate arithmetic progressions to loop over. Note that the end point is never included:

sage: range?
range?
>>> from sage.all import *
>>> range?
sage: list(range(4))
[0, 1, 2, 3]
list(range(4))
>>> from sage.all import *
>>> list(range(Integer(4)))
[0, 1, 2, 3]
sage: list(range(1, 5))
[1, 2, 3, 4]
list(range(1, 5))
>>> from sage.all import *
>>> list(range(Integer(1), Integer(5)))
[1, 2, 3, 4]
sage: list(range(1, 11, 2))
[1, 3, 5, 7, 9]
list(range(1, 11, 2))
>>> from sage.all import *
>>> list(range(Integer(1), Integer(11), Integer(2)))
[1, 3, 5, 7, 9]
sage: list(range(10, 0, -1))
[10, 9, 8, 7, 6, 5, 4, 3, 2, 1]
list(range(10, 0, -1))
>>> from sage.all import *
>>> list(range(Integer(10), Integer(0), -Integer(1)))
[10, 9, 8, 7, 6, 5, 4, 3, 2, 1]
sage: for i in range(4):
....:     print("{} {}".format(i, i*i))
0 0
1 1
2 4
3 9
for i in range(4):
    print("{} {}".format(i, i*i))
>>> from sage.all import *
>>> for i in range(Integer(4)):
...     print("{} {}".format(i, i*i))
0 0
1 1
2 4
3 9

You can use the continue keyword to immediately go to the next item in the loop:

sage: for i in range(10):
....:     if i % 2 == 0:
....:         continue
....:     print(i)
1
3
5
7
9
for i in range(10):
    if i % 2 == 0:
        continue
    print(i)
>>> from sage.all import *
>>> for i in range(Integer(10)):
...     if i % Integer(2) == Integer(0):
...         continue
...     print(i)
1
3
5
7
9

If you want to break out of the loop, use the break keyword:

sage: for i in range(10):
....:     if i % 2 == 0:
....:         continue
....:     if i == 7:
....:         break
....:     print(i)
1
3
5
for i in range(10):
    if i % 2 == 0:
        continue
    if i == 7:
        break
    print(i)
>>> from sage.all import *
>>> for i in range(Integer(10)):
...     if i % Integer(2) == Integer(0):
...         continue
...     if i == Integer(7):
...         break
...     print(i)
1
3
5

If you need to keep track of both the position in the list and its value, one (not so elegant) way would be to do the following:

sage: l = ['a', 'b', 'c']
sage: for i in range(len(l)):
....:     print("{} {}".format(i, l[i]))
0 a
1 b
2 c
l = ['a', 'b', 'c']
for i in range(len(l)):
    print("{} {}".format(i, l[i]))
>>> from sage.all import *
>>> l = ['a', 'b', 'c']
>>> for i in range(len(l)):
...     print("{} {}".format(i, l[i]))
0 a
1 b
2 c

It’s cleaner to use enumerate() which provides the index as well as the value:

sage: l = ['a', 'b', 'c']
sage: for i, letter in enumerate(l):
....:     print("{} {}".format(i, letter))
0 a
1 b
2 c
l = ['a', 'b', 'c']
for i, letter in enumerate(l):
    print("{} {}".format(i, letter))
>>> from sage.all import *
>>> l = ['a', 'b', 'c']
>>> for i, letter in enumerate(l):
...     print("{} {}".format(i, letter))
0 a
1 b
2 c

You could get a similar result to the result of the enumerate() function by using zip() to zip two lists together:

sage: l = ['a', 'b', 'c']
sage: for i, letter in zip(range(len(l)), l):
....:     print("{} {}".format(i, letter))
0 a
1 b
2 c
l = ['a', 'b', 'c']
for i, letter in zip(range(len(l)), l):
    print("{} {}".format(i, letter))
>>> from sage.all import *
>>> l = ['a', 'b', 'c']
>>> for i, letter in zip(range(len(l)), l):
...     print("{} {}".format(i, letter))
0 a
1 b
2 c

For loops work using Python’s iterator protocol. This allows all sorts of different objects to be looped over. For example:

sage: for i in GF(5):
....:     print("{} {}".format(i, i*i))
0 0
1 1
2 4
3 4
4 1
for i in GF(5):
    print("{} {}".format(i, i*i))
>>> from sage.all import *
>>> for i in GF(Integer(5)):
...     print("{} {}".format(i, i*i))
0 0
1 1
2 4
3 4
4 1

How does this work?

sage: it = iter(GF(5)); it
<generator object ...__iter__ at 0x...>

sage: next(it)
0

sage: next(it)
1

sage: next(it)
2

sage: next(it)
3

sage: next(it)
4

sage: next(it)
Traceback (most recent call last):
...
StopIteration
it = iter(GF(5)); it
next(it)
next(it)
next(it)
next(it)
next(it)
next(it)
>>> from sage.all import *
>>> it = iter(GF(Integer(5))); it
<generator object ...__iter__ at 0x...>

>>> next(it)
0

>>> next(it)
1

>>> next(it)
2

>>> next(it)
3

>>> next(it)
4

>>> next(it)
Traceback (most recent call last):
...
StopIteration
sage: R = GF(5)
sage: R.__iter__??
R = GF(5)
R.__iter__??
>>> from sage.all import *
>>> R = GF(Integer(5))
>>> R.__iter__??

The command yield provides a very convenient way to produce iterators. We’ll see more about it in a bit.

Exercises#

For each of the following sets, compute the list of its elements and their sum. Use two different ways, if possible: with a loop, and using a list comprehension.

  1. The first \(n\) terms of the harmonic series:

    \[\sum_{i=1}^n \frac{1}{i}\]
    sage: # edit here
    
    # edit here
    >>> from sage.all import *
    >>> # edit here
    
  2. The odd integers between \(1\) and \(n\):

    sage: # edit here
    
    # edit here
    >>> from sage.all import *
    >>> # edit here
    
  3. The first \(n\) odd positive integers:

    sage: # edit here
    
    # edit here
    >>> from sage.all import *
    >>> # edit here
    
  4. The integers between \(1\) and \(n\) that are neither divisible by \(2\) nor by \(3\) nor by \(5\):

    sage: # edit here
    
    # edit here
    >>> from sage.all import *
    >>> # edit here
    
  5. The first \(n\) positive integers that are neither divisible by \(2\) nor by \(3\) nor by \(5\):

    sage: # edit here
    
    # edit here
    >>> from sage.all import *
    >>> # edit here
    

Functions#

Functions are defined using the def statement, and values are returned using the return keyword:

sage: def f(x):
....:     return x*x
def f(x):
    return x*x
>>> from sage.all import *
>>> def f(x):
...     return x*x
sage: f(2)
4
f(2)
>>> from sage.all import *
>>> f(Integer(2))
4

Functions can be recursive:

sage: def fib(n):
....:     if n <= 1:
....:         return 1
....:     else:
....:         return fib(n-1) + fib(n-2)
def fib(n):
    if n <= 1:
        return 1
    else:
        return fib(n-1) + fib(n-2)
>>> from sage.all import *
>>> def fib(n):
...     if n <= Integer(1):
...         return Integer(1)
...     else:
...         return fib(n-Integer(1)) + fib(n-Integer(2))
sage: [fib(i) for i in range(10)]
[1, 1, 2, 3, 5, 8, 13, 21, 34, 55]
[fib(i) for i in range(10)]
>>> from sage.all import *
>>> [fib(i) for i in range(Integer(10))]
[1, 1, 2, 3, 5, 8, 13, 21, 34, 55]

Functions are first class objects like any other. For example, they can be passed in as arguments to other functions:

sage: f
<function f at 0x...>
f
>>> from sage.all import *
>>> f
<function f at 0x...>
sage: def compose(f, x, n):   # computes f(f(...f(x)))
....:     for i in range(n):
....:         x = f(x)        # this change is local to this function call!
....:     return x
def compose(f, x, n):   # computes f(f(...f(x)))
    for i in range(n):
        x = f(x)        # this change is local to this function call!
    return x
>>> from sage.all import *
>>> def compose(f, x, n):   # computes f(f(...f(x)))
...     for i in range(n):
...         x = f(x)        # this change is local to this function call!
...     return x
sage: compose(f, 2, 3)
256
compose(f, 2, 3)
>>> from sage.all import *
>>> compose(f, Integer(2), Integer(3))
256
sage: def add_one(x):
....:     return x + 1
def add_one(x):
    return x + 1
>>> from sage.all import *
>>> def add_one(x):
...     return x + Integer(1)
sage: compose(add_one, 2, 3)
5
compose(add_one, 2, 3)
>>> from sage.all import *
>>> compose(add_one, Integer(2), Integer(3))
5

You can give default values for arguments in functions:

sage: def add_n(x, n=1):
....:     return x + n
def add_n(x, n=1):
    return x + n
>>> from sage.all import *
>>> def add_n(x, n=Integer(1)):
...     return x + n
sage: add_n(4)
5
add_n(4)
>>> from sage.all import *
>>> add_n(Integer(4))
5
sage: add_n(4, n=100)
104
add_n(4, n=100)
>>> from sage.all import *
>>> add_n(Integer(4), n=Integer(100))
104
sage: add_n(4, 1000)
1004
add_n(4, 1000)
>>> from sage.all import *
>>> add_n(Integer(4), Integer(1000))
1004

You can return multiple values from a function:

sage: def g(x):
....:     return x, x*x
def g(x):
    return x, x*x
>>> from sage.all import *
>>> def g(x):
...     return x, x*x
sage: g(2)
(2, 4)
g(2)
>>> from sage.all import *
>>> g(Integer(2))
(2, 4)
sage: type(g)
<... 'function'>
type(g)
>>> from sage.all import *
>>> type(g)
<... 'function'>
sage: a,b = g(100)
a,b = g(100)
>>> from sage.all import *
>>> a,b = g(Integer(100))
sage: a
100
a
>>> from sage.all import *
>>> a
100
sage: b
10000
b
>>> from sage.all import *
>>> b
10000

You can also take a variable number of arguments and keyword arguments in a function:

sage: def h(*args, **kwds):
....:     print("{} {}".format(type(args), args))
....:     print("{} {}".format(type(kwds), kwds))
def h(*args, **kwds):
    print("{} {}".format(type(args), args))
    print("{} {}".format(type(kwds), kwds))
>>> from sage.all import *
>>> def h(*args, **kwds):
...     print("{} {}".format(type(args), args))
...     print("{} {}".format(type(kwds), kwds))
sage: h(1,2,3,n=4)
<... 'tuple'> (1, 2, 3)
<... 'dict'> {'n': 4}
h(1,2,3,n=4)
>>> from sage.all import *
>>> h(Integer(1),Integer(2),Integer(3),n=Integer(4))
<... 'tuple'> (1, 2, 3)
<... 'dict'> {'n': 4}

Let’s use the yield instruction to make a generator for the Fibonacci numbers up to \(n\):

sage: def fib_gen(n):
....:     if n < 1:
....:         return
....:     a = b = 1
....:     yield b
....:     while b < n:
....:         yield b
....:         a, b = b, b+a
def fib_gen(n):
    if n < 1:
        return
    a = b = 1
    yield b
    while b < n:
        yield b
        a, b = b, b+a
>>> from sage.all import *
>>> def fib_gen(n):
...     if n < Integer(1):
...         return
...     a = b = Integer(1)
...     yield b
...     while b < n:
...         yield b
...         a, b = b, b+a
sage: for i in fib_gen(50):
....:     print(i)
1
1
2
3
5
8
13
21
34
for i in fib_gen(50):
    print(i)
>>> from sage.all import *
>>> for i in fib_gen(Integer(50)):
...     print(i)
1
1
2
3
5
8
13
21
34

Exercises#

  1. Write a function is_even which returns True if n is even and False otherwise.

  2. Write a function every_other which takes a list l as input and returns a list containing every other element of l.

  3. Write a generator every_other which takes an iterable l as input, and returns every other element of l, one after the other.

  4. Write a function which computes the \(n\)-th Fibonacci number. Try to improve performance.

Todo

  • Definition of hashable

  • Introduction to the debugger.